结核病的一个典型特征是形成肉芽肿,其内部缺氧。结核分枝杆菌必须适应这种环境以存活并进入持续性感染状态。本研究的出发点是探究缺氧是否会特异性诱导分枝杆菌 ...
欢迎来到Bioscreen网站!
结核病的一个典型特征是形成肉芽肿,其内部缺氧。结核分枝杆菌必须适应这种环境以存活并进入持续性感染状态。本研究的出发点是探究缺氧是否会特异性诱导分枝杆菌 ...
该工作将细菌基因组的精细三维架构与具体的转录激活、外源基因沉默等核心生物学功能直接联系起来,为理解细菌的适应性与进化提供了全新的三维空间视角。Bios ...
Bioscreen C全自动生长曲线分析仪作为关键的表型监测工具,具有无蒸发、无早熟,可连续测量1600小时,同时测量三个波段的特点,被用于量化不同基 ...
本研究为gRAMP的催化机制和III-E型系统的免疫机制提供了关键见解。Bioscreen C全自动微生物生长曲线分析仪,通过实时、高通量监测细菌培养 ...
本研究阐明了碳青霉烯耐药鲍曼不动杆菌(CRAB)中主要的OXA-23酶与其编码质粒pAZJ221在宿主菌内的共进化动力学。研究通过将临床质粒pAZJ2 ...
我们成功开发了三种强健的工业酵母菌株,将高效的D-木糖利用与高抑制剂耐受性相结合,用于木质纤维素水解物的生物乙醇生产。两个菌株(GSF335和GSF7 ...
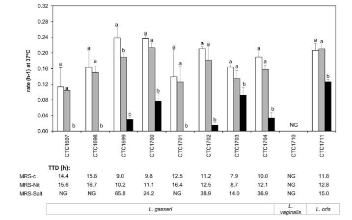
三个新杂交菌株GSE16、GSF335和GSF767在酸预处理云杉材料的发酵实验中评估抑制剂耐受性。使用云杉材料的全浆液60%,补充酵母提取物和蛋白胨 ...
大多数最佳D-木糖发酵菌株在这种生长评估实验中也表现良好。因此,大多数差的D-木糖发酵分离株可以通过使用24小时内生长至OD600为15的截止值来排除 ...
为了进行生长速率测定,菌株首先在酵母提取物蛋白胨葡萄糖培养基中预生长至早期稳定期。用冰冷无菌水洗涤沉淀后,将细胞接种到200微升含有20克/升葡萄糖的 ...
使用未脱毒的酸预处理云杉水解物筛选了580个酵母菌株的抑制剂耐受性,并确定了一种三倍体工业面包酵母菌株具有最高的抑制剂耐受性。从该菌株中,获得了一个具 ...