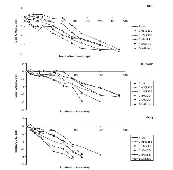
大肠杆菌在土壤中的存活与土壤微生物群落的复杂度呈负相关。在未添加BS3的新鲜土壤中,大肠杆菌计数逐渐下降,在75-120天孵育后降至检测水平以下(如图 ...
欢迎来到Bioscreen网站!
大肠杆菌在土壤中的存活与土壤微生物群落的复杂度呈负相关。在未添加BS3的新鲜土壤中,大肠杆菌计数逐渐下降,在75-120天孵育后降至检测水平以下(如图 ...
在本研究中,用不同浓度的BS3处理后,进行平板计数以量化孵育10天和90天后土壤中可培养细菌的变化。细菌群落的生态生理结构变化由EP和CD指数指示。通 ...
芬兰Bioscreen生长曲线分析仪(以C PRO/M PRO为代表)与普通高级酶标仪相比,在长期、高精度、全自动微生物生长曲线测定方面优势非常突出, ...
本论文解决当前深度学习方法设计抗菌肽(AMPs)成功率低、虚拟库规模大的挑战。其核心策略是利用深度学习模型的可解释性提取关键生物活性特征以指导新肽设计 ...
测定最低抑菌浓度时,抗菌肽测试浓度从128微摩尔按两倍梯度稀释至1微摩尔。利用自动Bioscreen C全自动生长曲线分析仪(芬兰雷勃公司)监测细菌生 ...
将大肠杆菌通过转换为log CFU·g⁻¹进行标准化。根据方程 Mₜ/M = M₀e⁻ᵏᵗ计算土壤中大肠杆菌的存活率,其中Mₜ是时间t时的细菌数量,M ...
使用最初分离自牧场土壤、人粪便和狗粪便的菌株作为接种物。简要地,将10克新鲜粪便或土壤样品用95毫升磷酸盐缓冲液稀释,280 rpm振荡30分钟。对于 ...
理解大肠杆菌在不同微生物组成的土壤中的存活和持久性,对于水质评估和微生物源追踪的准确性至关重要。本研究通过微宇宙实验,调查了三种大肠杆菌菌株(分别来源 ...
Bioscreen C 被用于测量菌株CZ05的生长曲线。研究人员使用 Bioscreen C 来评估菌株在不同培养基(No.1至No.4)中的生长情 ...
尽管一些先前研究已报道PL技术对孢子灭活的影响,但据我们所知,这是第一项描述PL处理对发芽动力学及随后营养生长影响的研究。只有高强度处理完全阻止了枯草 ...