测试了几种DNA提取方法,以从受感染昆虫的消化道样品中纯化DNA(酚-氯仿提取、QIAamp DNA mini kit(Qiagen)和十六烷基三甲基 ...
欢迎来到Bioscreen网站!
测试了几种DNA提取方法,以从受感染昆虫的消化道样品中纯化DNA(酚-氯仿提取、QIAamp DNA mini kit(Qiagen)和十六烷基三甲基 ...
罗氏红球菌(Rhodococcus rhodnii)是我们长红猎蝽群体中唯一可培养的定植于昆虫肠道的细菌,从饥饿昆虫的AM中分离,并在28°C、120 ...
在此,我们报告了通过使用qPCR精确测定寄生虫载量并结合荧光和生物发光成像(BLI)来监测克氏锥虫在长红猎蝽消化道中的定植情况。这些互补的方法揭示了寄 ...
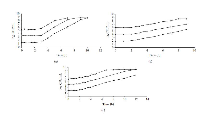
这项工作的主要目的是分离波兰蜜露中的嗜果糖乳酸菌,以了解来自温带气候地区蜜露中物种的变异性。我们的工作首次表明,来自欧洲温带气候的蜜露可能是一个有前景 ...
在30°C孵育24小时后,将细胞离心并从含有盐水的培养基中去除。将麦氏浊度为0.5的接种物悬浮液小心地涂布在含有4毫米厚MRS琼脂的平板上。当悬浮液被 ...
使用Bioscreen C系统测定嗜果糖特性。孵育24小时后,将细菌培养物离心并从培养基中去除。将细菌细胞悬浮在生理盐水中,并在600 nm处设定相同 ...
在本研究中,首次从蜜露中分离出一株表现出嗜果糖行为的植物乳杆菌FPL菌株。它可能是一种共生细菌,栖息于褐软蚧的胃肠道中,并参与糖代谢。植物乳杆菌FPL ...
本研究不仅丰富了Brevundimonas属的物种多样性,为环境微生物资源库增添新成员,同时也从基因组层面揭示了该属细菌潜在的致病风险和生态适应策略, ...
Bioscreen全自动生长曲线分析仪用于定量监测细菌的生长动态,从而获取短小单胞菌属(Brevundimonas)菌株的生长曲线数据。将待测菌株接种 ...
研究人员通过建立SIR2的全球遗传相互作用网络,鉴定了极化体、Bni1p的formin Bni1p和肌球蛋白运动蛋白Myo2p,这些都是有丝分裂细胞分 ...