黄芩素和壳聚糖是能够抑制微生物对表面粘附或破坏近平滑念珠菌和克鲁斯念珠菌预形成生物膜的天然物质。另一方面,通常使用的真菌抗生素两性霉素B促进近平滑念珠 ...
欢迎来到Bioscreen网站!
黄芩素和壳聚糖是能够抑制微生物对表面粘附或破坏近平滑念珠菌和克鲁斯念珠菌预形成生物膜的天然物质。另一方面,通常使用的真菌抗生素两性霉素B促进近平滑念珠 ...
本研究选择了已知干扰生物膜形成的天然物质。低浓度黄芩素能够抑制白念珠菌生物膜形成,壳聚糖对多种微生物表现出抗菌活性,包括白念珠菌生物膜。地衣酸被描述为 ...
本文的目的是报告应用Cellavista设备作为一种新方法研究酵母生物膜及其对抗菌剂响应的可能性。该应用通过观察用天然物质而非抗生素处理真菌生物膜来证 ...
在这项工作中,采用了一种筛选策略,使我们能够检测与PMB协同的化合物。在从海洋来源获得的2686种化合物库中找到了五种这样的化合物。这种相对较高的成功 ...
评估了新生霉素对洋葱伯克霍尔德菌K56-2的协同效应是否也发生在其他临床BCC分离株中,包括多重伯克霍尔德菌菌株C0514和两株妥布霉素耐药的BCC分 ...
洋葱伯克霍尔德菌及伯克霍尔德菌复合体(BCC)的其他成员是高度多重耐药的细菌,可引起囊性纤维化患者的严重肺部感染。对2686种来源于海洋生物的化合物进 ...
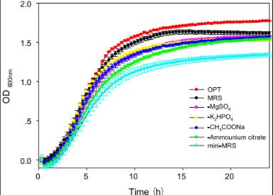
Bioscreen全自动生长曲线分析仪用于培养副干酪乳杆菌JY091,制备了分别含有1%、3%、5%、7%和9%蜂王浆的无葡萄糖MRS培养基。将副干酪 ...
Bioscreen C提供的生长动力学数据是连接基因操作(原噬菌体删除)与表型变化的直接证据,弥补了分子生物学工具(如PCR、测序)无法反映功能缺陷的 ...
由于bfmA和bfmK组织在一个操纵子中,bfmK(ΔSmlt4208)的插入失活可能对整个操纵子的转录产生极性效应。为避免此缺陷,使用自杀载体pK ...
嗜麦芽窄食单胞菌编码具有多种结构域组成的组氨酸激酶。由于嗜麦芽窄食单胞菌ATCC 13637的完整基因组尚未测序,本研究使用嗜麦芽窄食单胞菌K279a ...