材料与方法
菌株和培养。研究了代表不同脉冲场凝胶电泳类型的24株II组肉毒梭菌菌株(3株B型,16株E型,5株F型)。使用如下所述的扩增片段长度多态性对菌株进行基因分型,并通过多重PCR assay确认肉毒神经毒素基因的携带。
所有肉毒梭菌菌株均从孢子接种在血琼脂平板上培养。将每个菌株的三个不同菌落分别接种到10毫升TPGY肉汤中,并在30°C下培养24小时。将每种培养物的100微升样品进一步接种到10毫升新鲜TPGY肉汤中,并在30°C下培养16小时。所有培养物均在厌氧工作站中制备。研究中使用的琼脂平板和肉汤在使用前分别通过厌氧储存48小时和煮沸15分钟进行脱氧处理。
最低和最高生长温度。使用GradiplateW10温度梯度培养箱测定II组肉毒梭菌菌株的最低和最高生长温度。将每种稳定期培养物的100微升样品接种到10毫升TPGY肉汤中,并在30°C下培养至OD600达到0.6至0.9光密度单位。然后将每种对数期培养物的1毫升样品用9毫升蛋白胨水稀释,并将25微升稀释培养物通过液滴流动技术纵向接种到厌氧TPGY琼脂平板上。每个菌株接种两个重复培养物。温度梯度分别设置为3至9°C和33至42°C以确定最低和最高生长温度。低温下的生长边界在培养28天后通过立体显微镜确定,而高温下的生长边界在培养48小时后通过肉眼确定。生长边界计算为细菌密集生长停止的边缘。技术重复获得的值取平均值。实验进行三次。每个菌株的最低和最高生长温度记录为三次重复实验的平均值。
在10°C、30°C、37°C和40°C下的最大生长速率。将30°C培养的第二次过夜培养物的100微升样品接种到10毫升厌氧TPGY肉汤中并混合,然后将此稀释液的350微升移液到100孔微孔板的四个重复孔中,并在厌氧工作站中使用Bioscreen C微生物生长曲线分析仪在10°C、30°C、37°C或40°C下培养。培养物在连续振荡下培养48小时或14天。培养物的OD600值由Bioscreen微生物生长曲线分析仪自动测量并每15分钟报告一次。通过绘制OD600随时间变化的曲线获得生长曲线。通过将生长曲线拟合到Baranyi和Roberts模型,使用DMfit Microsoft Excel插件程序确定每种培养物的最大生长速率,并计算四个技术重复的平均值。实验进行三次。计算三次重复实验在10°C、30°C、37°C和40°C下的平均最大生长速率。计算每个菌株在两个温度下的平均最大生长速率之间的差异。
AFLP分析。AFLP分析按照Keto-Timonen等人描述的方法进行。
统计分析。使用SPSS 15.0 for Windows中的Student's t检验,比较代表不同毒素类型或不同AFLP簇的菌株组在最低和最高生长温度以及10°C、30°C、37°C和40°C下的最大生长速率。
结果
最低和最高生长温度。在我们实验系统中研究的24株II组肉毒梭菌菌株的最低生长温度范围为6.2°C至8.6°C,培养28天后的平均值为7.3°C。各毒素类型菌株的平均最低生长温度为:B型7.0°C,E型7.1°C,F型7.8°C。F型菌株的最低生长温度高于E型或B型菌株。在毒素类型内,E型菌株的变异最大,其最低生长温度范围为6.3°C至8.6°C。
图1 24株II组肉毒梭菌菌株的生长温度范围。阴影条代表生长温度范围。最低和最高生长温度为三次重复实验的平均值。菌株按温度范围大小排序,菌株名称后的括号内标明毒素类型
表2. 24株II组肉毒梭菌的最低与最高生长温度及其差值| 毒素类型 | 菌株数量 | 菌株 | 平均±标准差生长温度(°C) | 温度差(°C) | |
| 最低 | 最高 | ||||
| B | 3 | 所有B型菌株 | 7.0±0.9 | 36.6±1.9 | 29.6 |
| BL 90/4 | 8.0±0.6 | 38.5±0.7 | 30.5 | ||
| BL 93/6 | 6.2±0.5 | 36.4±0.6 | 30.2 | ||
| Eklund 17 | 6.8±0.0 | 34.7±0.7 | 27.9 | ||
| E | 16 | 所有E型菌株 | 7.1±0.6 | 39.0±0.8 | 31.9 |
| K3 | 6.3±0.5 | 38.7±1.0 | 32.4 | ||
| K8 | 6.9±1.1 | 39.2±0.3 | 32.3 | ||
| K35 | 6.3±1.4 | 39.3±0.7 | 33.0 | ||
| K36 | 6.8±0.6 | 39.6±0.1 | 32.8 | ||
| K42 | 6.5±0.2 | 38.4±0.3 | 31.9 | ||
| K44 | 7.2±1.2 | 39.3±0.3 | 32.1 | ||
| K51 | 7.8±0.4 | 37.4±0.6 | 29.6 | ||
| K101 | 6.6±0.0 | 37.8±0.6 | 31.2 | ||
| K117 | 7.1±0.4 | 39.9±0.3 | 32.8 | ||
| K119 | 7.3±0.4 | 39.8±0.7 | 32.5 | ||
| K125 | 7.3±0.3 | 38.6±0.3 | 31.3 | ||
| S16 | 7.8±1.0 | 39.5±1.0 | 31.7 | ||
| Beluga | 7.7±0.2 | 38.2±0.1 | 30.5 | ||
| CB11/1-1 | 8.6±0.2 | 39.6±0.5 | 31.0 | ||
| BL 93/8 | 6.6±1.0 | 39.2±0.6 | 32.6 | ||
| 31-2570 | 7.2±0.7 | 39.8±0.8 | 32.6 | ||
| F | 5 | 所有F型菌株 | 7.8±0.5 | 37.8±0.6 | 30.0 |
| BL 86/32 | 7.8±0.2 | 37.6±0.3 | 29.8 | ||
| BL 86/33 | 7.8±0.7 | 38.0±1.0 | 30.2 | ||
| BL 86/34 | 8.4±0.1 | 37.0±1.3 | 28.6 | ||
| 610B8-6 | 8.0±0.2 | 38.0±0.5 | 30.0 | ||
| 202 | 7.1±1.5 | 38.6±0.7 | 31.5 | ||
| 所有类型 | 24 | 所有菌株 | 7.3±0.7 | 38.5±1.2 | 31.2 |
所有研究的II组肉毒梭菌菌株的最高生长温度范围为34.7°C至39.9°C,平均为38.5°C。B型菌株的最高生长温度范围为34.7°C至38.5°C,平均为36.6°C;E型菌株为37.4°C至39.9°C,平均为39.0°C;F型菌株为37.0°C至38.6°C,平均为37.8°C。B型和F型菌株的最高生长温度显著低于E型菌株。B型和F型菌株之间的最高生长温度无显著差异。B型菌株在最高生长温度上的变异最大,最高值和最低值相差3.8°C。F型菌株的变异最小,最高和最低最高生长温度相差1.6°C。
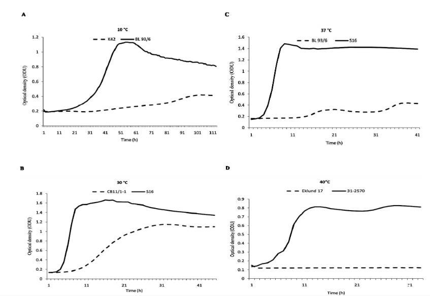
图2: 在10°C(A)、30°C(B)、37°C(C)和40°C(D)下生长差异最大的II组肉毒梭菌菌株的生长曲线。虚线表示最大生长速率最低的菌株,实线表示最大生长速率最高的菌株。光密度在600纳米波长下测量(以光密度单位[ODU]表示)。
在10°C、30°C、37°C和40°C下的最大生长速率。所检测的II组肉毒梭菌菌株的最大生长速率范围在10°C时为0.01至0.05 ODU/h,在30°C时为0.29至0.44 ODU/h,在37°C时为0.06至0.45 ODU/h,在40°C时为0.00至0.13 ODU/h。所有菌株在10°C时的平均最大生长速率为0.02 ODU/h,在30°C时为0.36 ODU/h,在37°C时为0.25 ODU/h,在40°C时为0.06 ODU/h。在40°C时,仅观察到11株菌生长,这些菌株均为毒素E型。在37°C时,E型菌株的生长速率显著高于其他菌株。E型菌株K51和K101,F型菌株610B8-6、BL 86/32和BL 86/34,以及所有三株B型菌株在37°C时的生长显著慢于30°C。虽然比较30°C和37°C的最大生长速率显示,五株E型菌株在37°C的最大生长速率高于30°C,但此差异不显著。研究中包含的其余菌株之间生长速率无显著差异。
表3. 第二组肉毒杆菌菌株在10、30、37及40℃条件下的最大生长速率(GR)及其差异比较(ΔGR10-30与ΔGR37-30)| 毒素类型 | 菌株数量 | 菌株 | 平均±标准差最大生长速率(ODU/h)在以下温度下: | 生长速率差(ODU/h) | |||||
| 10°C | 30°C | 37°C | 40°Cb | △GR10-30 | △GR37-30 | ||||
| B | 3 | 所有B型菌株 | 0.026±0.018 | 0.375±0.027 | 0.111±0.079 | NG | -0.349 | -0.264 | |
| BL 90/4 | 0.010±0.002 | 0.403±0.047 | 0.201±0.010 | NG | -0.393 | -0.202 | |||
| BL 93/6 | 0.046±0.014 | 0.349±0.106 | 0.055±0.015 | NG | -0.303 | -0.294 | |||
| Eklund 17 | 0.022±0.005 | 0.373±0.092 | 0.077±0.023 | NG | -0.351 | -0.296 | |||
| E | 16 | 所有E型菌株 | 0.020±0.010 | 0.355±0.035 | 0.300±0.083 | 0.060±0.043 | -0.335 | -0.055 | |
| K3 | 0.013±0.006 | 0.379±0.112 | 0.387±0.046 | 0.055±0.057 | -0.366 | 0.008 | |||
| K8 | 0.028±0.000 | 0.356±0.114 | 0.188±0.003 | 0.018±0.009 | -0.328 | -0.168 | |||
| K35 | 0.014±0.002 | 0.345±0.041 | 0.314±0.011 | 0.028±0.021 | -0.331 | -0.031 | |||
| K36 | 0.009±0.002 | 0.358±0.083 | 0.330±0.057 | 0.017±0.004 | -0.349 | -0.028 | |||
| K42 | 0.005±0.000 | 0.302±0.099 | 0.217±0.035 | NG | -0.297 | -0.085 | |||
| K44 | 0.008±0.003 | 0.390±0.107 | 0.312±0.050 | 0.014±0.006 | -0.382 | -0.078 | |||
| K51 | 0.020±0.004 | 0.375±0.057 | 0.194±0.031 | NG | -0.355 | -0.181 | |||
| K101 | 0.030±0.000 | 0.336±0.060 | 0.178±0.049 | NG | -0.306 | -0.158 | |||
| K117 | 0.033±0.003 | 0.373±0.100 | 0.349±0.060 | 0.086±0.003 | -0.340 | -0.024 | |||
| K119 | 0.020±0.004 | 0.345±0.084 | 0.394±0.034 | 0.120±0.053 | -0.325 | 0.049 | |||
| K125 | 0.023±0.001 | 0.330±0.071 | 0.214±0.063 | NG | -0.307 | -0.116 | |||
| S16 | 0.039±0.005 | 0.440±0.135 | 0.447±0.027 | 0.093±0.018 | -0.401 | 0.007 | |||
| Beluga | 0.026±0.002 | 0.354±0.076 | 0.284±0.024 | NG | -0.328 | -0.070 | |||
| CB11/1-1 | 0.015±0.001 | 0.293±0.055 | 0.298±0.109 | 0.060±0.061 | -0.278 | 0.005 | |||
| BL 93/8 | 0.020±0.004 | 0.365±0.159 | 0.313±0.111 | 0.037±0.025 | -0.345 | -0.052 | |||
| 31-2570 | 0.011±0.005 | 0.335±0.096 | 0.386±0.032 | 0.135±0.027 | -0.324 | 0.051 | |||
| F | 5 | 所有F型菌株 | 0.021±0.015 | 0.354±0.045 | 0.159±0.051 | NG | -0.333 | -0.195 | |
| BL 86/32 | 0.006±0.008 | 0.317±0.083 | 0.092±0.010 | NG | -0.311 | -0.225 | |||
| BL 86/33 | 0.030±0.009 | 0.363±0.080 | 0.227±0.091 | NG | -0.333 | -0.136 | |||
| BL 86/34 | 0.041±0.007 | 0.378±0.090 | 0.128±0.052 | NG | -0.337 | -0.250 | |||
| 610B8-6 | 0.007±0.008 | 0.411±0.060 | 0.177±0.031 | NG | -0.404 | -0.234 | |||
| 202 | 0.021±0.008 | 0.300±0.098 | 0.169±0.069 | NG | -0.279 | -0.131 | |||
| 所有类型 | 24 | 所有菌株 | 0.021±0.012 | 0.357±0.035 | 0.247±0.107 | 0.06±0.05 | -0.336 | -0.110 | |
生长速率与生长温度界限之间的关系。观察到最高生长温度与37°C最大生长速率之间存在高度相关性。仅就B型菌株而言,相关性高于其他菌株。最低生长温度与10°C最大生长速率之间的关联不太明确。
相关新闻推荐
1、不同碳源对StSte12基因调控玉米大斑病菌菌丝生长速度的影响(一)
2、不同pH、Na2CO3、NaCl浓度对耐盐碱菌株NM-1生长曲线的影响——实验结果与讨论
