正丙醇是高级醇之一,是白酒中重要的风味物质之一。中国白酒有12种风味类型,不同风味类型中正丙醇的含量差异很大。例如正丙醇是中国名牌白酒的重要风味物质之一,如斯特酒(特味型)、茅台酒(茅台味型)、白云边酒(混合型)。适量的正丙醇对白酒特殊香味的改善有一定的贡献。但正丙醇含量高,严重影响白酒的口感和风味,刺激人体黏膜,危害人体健康。白酒酿造过程中产生正丙醇的微生物存在争议,大多数研究人员坚持认为酿酒酵母是正丙醇的主要生产者。酿酒酵母中的正丙醇是通过2-酮丁酸脱羧产生的。作为正丙醇的前体,2-酮丁酸的代谢与正丙醇的收率密切相关。近年来,关于在酿酒酵母中合成正丙醇存在不同意见。酿酒酵母中正丙醇合成的关键基因和代谢途径尚不清楚。在本文中,研究人员关注了苏氨酸、L-高丝氨酸和丙酮酸途径以及将2-酮丁酸转化为正丙醇以在酿酒酵母中合成正丙醇的途径。共选取21个与正丙醇代谢密切相关的基因,研究其对正丙醇合成的影响。通过测定每个重组菌株中21个基因的表达量以及突变菌株中L-天冬氨酸、苏氨酸、甘氨酸、2-酮丁酸、丙酮酸、丙醛和正丁酸的含量,分析基因对正丙醇代谢的调控作用。通过使用Bioscreen全自动生长曲线分析仪对酿酒酵母的生长和发酵曲线的监测,研究了正丙醇代谢相关基因缺失对突变菌株生长和发酵性能的影响。同时也测定了每个重组酵母菌株产生的异丁醇、异戊醇和2-苯乙醇的量。
Bioscreen全自动生长曲线分析仪的应用
将酵母菌株接种到YEPD液体培养基(5 mL)中,并在30°C摇床培养箱中培养12 h。然后将40μL酵母细胞液加入360μL YEPD培养基中,并将混合物转移至96孔板中。通过Bioscreen自动生长曲线分析系统(OY Growth Curves Ab Ltd.,Helsinki,Finland)每30分钟测量600 nm处的光密度(OD 600)。
实验结果
删除正丙醇代谢相关基因以评估在正丙醇合成中的作用,以确定酿酒酵母生产正丙醇的关键基因和途径。研究结果表明CYS 3、GLY 1、ALD 6、PDC 1、ADH 5和YML 082 W是影响酵母中正丙醇代谢的关键基因。n _与α5相比,α5ΔGLY 1、α5ΔCYS 3和α5ΔALD 6的丙醇浓度分别增加了121.75、22.75和17.78%。与α5相比,α5ΔPDC 1、α5ΔADH 5和α5ΔYML 082 W的正丙醇含量分别降低了24.98%、8.35%和8.44%。测定中间代谢物的含量,结果表明苏氨酸途径中甘氨酸和苏氨酸的相互转化和2-酮丁酸生成丙醛是正丙醇生成的核心途径。此外,YML 082 W通过L-高丝氨酸直接生产2-酮丁酸,在正丙醇的合成中发挥了重要作用。
图1、酿酒酵母中正丙醇的代谢途径。图中的三个色块显示了酿酒酵母中与正丙醇代谢相关的三个途径,分别是L-高丝氨酸、苏氨酸和丙酮酸途径。小椭圆形圆圈中的基因分别被删除。
图2、每个重组菌株和亲本菌株α5中的正丙醇含量。发酵后测定各重组菌株的正丙醇产量,研究代谢途径基因敲除对酵母菌生产正丙醇的影响。结果表明,除α5ΔTHR 1、α5ΔTHR 4和α5ΔTHR 6外,所有重组菌株均能顺利发酵。
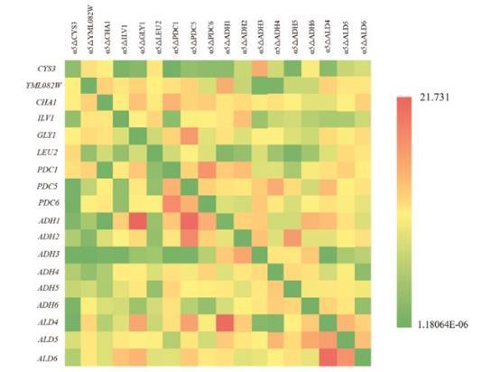
图3、突变体和α5基因表达水平的测定。每行代表与亲本菌株α5相比,每个重组菌株中每个靶基因的表达水平。红色和绿色表示与对照相比,靶基因的表达水平分别上调和下调。深色表示大幅上调或下调。与α5相比,最大上调和下调倍数分别为21.731和1.18064×10–6。
图4、重组菌株和亲本菌株α5的生长和发酵特性。(A)重组菌株和α5的生长曲线。(B)各重组菌株和α5的CO2排放量。(C)每个重组菌株和α5的酒精含量。误差条代表三个重复发酵实验数据的标准偏差。Bioscreen全生长曲线分析仪用于测定亲本菌株α5和各突变株在YEPD液体培养基中的生长曲线,研究正丙醇代谢途径中正丙醇代谢相关基因缺失对酵母菌生长的影响。从生长曲线的整体趋势来看,突变体的生长趋势与α5基本相同。除了处于稳定期的α5ΔALD 4和α5ΔALD 5外,在突变体之间没有观察到细胞密度的明显差异。这表明正丙醇代谢途径相关基因的缺失对酿酒酵母的生长性能没有不利影响。
图5、重组菌株和亲本菌株α5的高级醇的形成。(A)各重组菌株中异丁醇和α5的含量。(B)各重组菌株和α5中异戊醇的含量。(C)各重组菌株中2-苯乙醇的含量和α5。误差条代表三个重复发酵实验数据的标准偏差。
总结
酿酒酵母生产的正丙醇对中国白酒的口感和风味有显着影响。删除正丙醇代谢相关基因以评估在正丙醇合成中的作用,以确定酿酒酵母生产正丙醇的关键基因和途径。结果表明CYS 3、GLY 1、ALD 6、PDC 1、ADH 5和YML082W是影响酵母中正丙醇代谢的关键基因。与α5相比,α5ΔGLY 1、α5ΔCYS 3和α5ΔALD 6的丙醇浓度分别增加了121.75、22.75和17.78%。与α5相比,α5ΔPDC 1、α5ΔADH 5和α5ΔYML 082 W的正丙醇含量分别降低了24.98%、8.35%和8.44%。测定中间代谢物的含量,研究结果表明苏氨酸途径中甘氨酸和苏氨酸的相互转化和2-酮丁酸生成丙醛是正丙醇生成的核心途径。此外,YML 082 W通过L-高丝氨酸直接生产2-酮丁酸,在正丙醇的合成中发挥了重要作用。该研究为酿酒酵母中正丙醇的合成提供了有价值的见解,并为未来白酒酿造中酵母菌株的优化提供了理论基础。
相关新闻推荐
1、纳米ZnO-Ag复合材料对小麦根腐菌菌丝生长、种子萌发和幼苗生长影响(一)
2、不同浓度芍药苷对鲍曼不动杆菌生长曲线、生物被膜形成的影响(一)
3、猪流行性腹泻病毒生长曲线的测定及盐霉素对其抑制效果(三)
