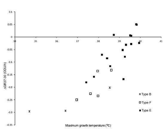
发现所有菌株的最高生长温度与△GR37-30之间存在显著相关性。当单独考虑B型菌株时,观察到最高的相关性。E型和F型菌株的相关性分别为0.75和0.76。五株在37°C最大生长速率高于30°C的E型菌株,其平均最高生长温度也高于所有菌株或所有E型菌株的平均值。19株具有负△GR37-30值的菌株中,有10株的最高生长温度低于平均值,而其余9株的最高生长温度高于平均值。这9株菌包括7株E型、1株B型和1株F型。
图3"24株产B型(星号)、E型(实心方块)或F型(空心方块)毒素的II组肉毒梭菌菌株的最高生长温度与37°C和30°C生长速率差值之间的关系。每个数据点代表三次重复实验的平均值
生长与AFLP簇之间的关系。在AFLP分析中,II组肉毒梭菌菌株形成三个簇。E型菌株分为两个簇,B型和F型菌株聚集在一起。除了上述毒素类型之间的生长差异外,簇II菌株在10°C的最大生长速率约为簇I菌株的两倍。遗传背景在24株菌株不同温度下的生长特性中反映较差。代表相同AFLP簇的个体菌株存在相当大的生长差异。
图4 基于AFLP分析结果绘制的24株II组肉毒梭菌菌株的树状图。
讨论
测得的24株II组肉毒梭菌菌株的最低生长温度为6.2°C至8.6°C,高于对该组的预期,并且五株E型菌株在37°C的最大生长速率高于30°C。类似地,Jensen等人发现II组B型菌株的生长概率在37°C最高。这些发现表明一些II组肉毒梭菌菌株在生长温度要求上类似于嗜温细菌,并支持将II组肉毒梭菌菌株普遍视为嗜冷菌的看法。
由II组肉毒梭菌引起的食源性肉毒中毒在经最低限度加工的冷藏水产品中尤其令人担忧。尽管肉毒梭菌E型在芬兰鳟鱼养殖场和波罗的海沉积物中流行率很高,但肉毒中毒病例很少。我们的发现可能部分解释了与冷藏食品相关的肉毒中毒病例发生率相对较低的原因;并非所有菌株都能在冷藏温度下鱼类产品预期储存时间内生长并产生神经毒素。可能需要相当程度的温度滥用,这些菌株才能在冷藏食品中生长并产生足以引起暴发的毒素。然而,据报道某些II组肉毒梭菌菌株在3°C以及4至5°C下,在冷藏食品典型储存时间框架内缓慢生长并产生毒素。因此,经最低限度加工的冷藏食品应特别关注肉毒梭菌。
在我们实验系统中研究的24株II组肉毒梭菌菌株的最低生长温度为6.2°C或更高。这些最低生长温度似乎高于其他II组肉毒梭菌菌株观察到的最低生长温度。例如,在1961年,Schmidt等人报道E型菌株Beluga在3.3°C生长并产毒,而我们在本研究中观察到的该菌株最低生长温度高出4°C。虽然这种差异可能部分归因于该著名菌株自分离以来(显然超过50年)在世界各地实验室中的退化,但最可能的解释可能在于实验设置。首先,我们研究的主要目的是揭示菌株在极端温度下生长的变异。为了符合冷藏食品工业的典型储存时间,我们将生长时间延长至4周。先前报道的较低最低生长温度基于更长的培养时间(长达4个月),因此更可能代表II组肉毒梭菌的"绝对"最低生长温度。其次,我们使用的Gradiplate设备允许连续温度梯度,因此理想地提供了比在不同温度下培养多个试管更准确的菌株间比较。Gradiplate系统使用固体琼脂作为细菌生长培养基。我们在平板上观察到的最高生长温度为39.9°C,而几株菌在液体培养基中40°C时生长。这些发现表明先前研究中使用的液体培养基比固体琼脂更支持细菌生长。第三,我们研究中使用的接种程序与先前研究不同。我们从30°C生长的营养培养物接种Gradiplates,而在许多早期研究中,接种物是热激活的孢子悬浮液。孢子更可能耐受突然暴露于极低温度,而营养细胞可能更容易因温度骤降而死亡。Ohye和Scott发现,当培养物在暴露于5°C之前适应10°C时,四株E型菌株的孢子在5°C生长,但没有适应步骤则不生长。因此,在测量"绝对"最低生长温度时,在培养程序中加入冷适应步骤可能很重要。
AFLP分析将24株II组肉毒梭菌菌株分为三个不同的簇;簇I和II包含所有E型菌株,簇III包含所有B型和F型菌株。AFLP簇之间的生长差异主要反映了毒素类型之间观察到的差异。簇I和II菌株似乎比簇III菌株更适应较高温度。除了一些簇II菌株在10°C的最大生长速率是簇I菌株的两倍外,所有菌株在极端温度下的生长特性似乎与其他遗传背景无关。与肉毒梭菌菌株适应极端温度变异相关的机制尚不清楚。我们实验室最近的工作揭示了冷休克和热休克蛋白在I组肉毒梭菌温度应激和适应中的重要性。
我们的结果表明,具有较大生长温度范围的II组肉毒梭菌菌株不一定在极端温度下高速生长。尽管E型菌株K117在本研究的所有菌株中具有最高的最高生长温度,但其△GR37-30值为负,表明在30°C生长快于37°C。相反,另一株E型菌株K3的最高生长温度仅略高于平均值,但其△GR37-30值为正,表明在37°C生长快于30°C。这些信息对于开发不同环境中细菌生长的预测模型可能特别重要。
一些II组菌株在低至3°C的温度下生长并产生神经毒素,而其他菌株在37°C生长快于30°C。这些变异以及这些菌株多样的遗传背景表明,II组肉毒梭菌可能是一个比通常认为的更多变的生物群体。在设计预测模型和食品控制措施时应考虑这种变异。
相关新闻推荐
1、乙脑病毒株囊膜蛋白I176R位点在BV-2细胞上的生长特性差异——材料与方法
3、捕食线虫性真菌少孢节丛孢菌不同分离株在4种培养基的生长速度研究(二)
