研究简介
尽管环境应激在促进衰老过程中可能扮演重要角色,但其与衰老之间的关系尚不清楚。以往研究已发现数百种能够延长寿命的突变基因,但大多数基因的作用机制并不明确。本研究利用酿酒酵母(Saccharomyces cerevisiae)作为模型生物,因为其基因组规模的单基因缺失突变体库可用于评估多种环境应激条件下的应激反应。研究人员检测了46种长寿酵母突变体在四种不同应激条件(氧化应激、内质网应激、DNA损伤应激和热应激)下的生长特性。通过聚类算法分析应激反应数据,发现缺乏线粒体AAA蛋白酶基因AFG3的细胞与缺乏细胞质大亚基核糖体蛋白的长寿突变体具有相似的应激反应特征,即这些细胞表现出细胞质mRNA翻译减少、对内质网应激诱导剂(如吐温霉素)的抗性增强,且这种抗性与内质网未折叠蛋白反应无关,同时其寿命延长与Sir2蛋白去乙酰化酶无关,但依赖于Gcn4转录因子。本研究的核心目标是探索长寿突变体的应激反应特征,特别是线粒体蛋白Afg3在细胞质mRNA翻译和衰老过程中的作用。研究团队通过对46种长寿酵母突变体的应激反应进行系统分析,揭示了Afg3缺失细胞与缺乏细胞质大亚基核糖体蛋白的长寿突变体之间的相似性,从而发现了Afg3在调节细胞质mRNA翻译、内质网(ER)应激抗性以及酵母寿命中的新角色。
本研究不仅揭示了Afg3在细胞质mRNA翻译和衰老过程中的新角色,还提供了一种通过应激反应特征来预测未知因素的长寿途径的新方法,为深入理解细胞如何感知和响应线粒体应激以及这些响应如何影响寿命和衰老提供了新的视角和研究方向。
Bioscreen全自动微生物生长曲线分析仪的应用
Bioscreen C全自动微生物生长曲线分析仪被用于定量评估46种长寿酵母突变体在不同应激条件下的生长特性。Bioscreen C是一种集摇床、培养箱和读板器于一体的设备,能够在多种条件下为酵母细胞的生长提供高质量的生长速率测定。Bioscreen C全自动生长曲线分析仪在不同应激条件下(如氧化应激、内质网应激、DNA损伤应激和热应激)测定46种长寿酵母突变体的生长速率。通过测量细胞密度(OD值),Bioscreen能够提供线性的细胞密度估计,范围从OD 0.1到1.0,从而实现高精度的生长速率测定。
实验结果
结果表明Afg3缺失细胞对吐温霉素的抗性增强并不依赖于Hac1(内质网未折叠蛋白反应的关键转录因子),且其寿命延长也不依赖于Hac1。此外,Afg3缺失细胞的细胞质mRNA翻译显著减少,但这种减少并不涉及大核糖体亚基的特异性耗竭。研究还发现,Afg3缺失细胞对热应激的耐受性与大亚基核糖体蛋白缺失突变体相似,且在15°C的低温条件下,这些细胞对吐温霉素的抗性并未增强,这进一步支持了Afg3和大亚基核糖体蛋白通过类似机制影响应激抗性和寿命的观点。此外,Afg3缺失细胞的寿命延长与Gcn4蛋白水平的增加有关,且与SIR2和FOB1的缺失无关,但与Gcn4的缺失有关。这些结果表明,Afg3的缺失通过一种与大亚基核糖体蛋白缺失突变体类似的机制延长寿命,即通过减少细胞质mRNA翻译来实现。
图1、对图尼霉素反应的长寿菌株的生长抑制。(a)显示了与野生型BY4742相比,相对生长抑制显著变化(p<0.05)的长寿菌株。对照敏感菌株hac1Δ在培养基中未生长。b-d)0、1或5μg/mL图尼霉素中野生型、rpl20bΔ和afg3Δ菌株的代表性生长曲线。(e)比较每个长寿突变体的复制寿命百分比变化与生长速率百分比变化的散点图。
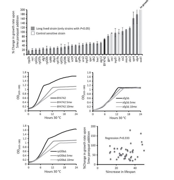
图2、长寿菌株对Paraquat的生长抑制(A)显示与野生型BY4742相比,长寿菌株在相对生长抑制上有显著变化(P<0.05)。对照敏感株ctt1Δ、cta1Δ、sod1Δ用于比较。误差棒为SEM。(B–D)野生型、rpl20bΔ和afg3Δ菌株在0、5或10 mM Paraquat下的代表性生长曲线。(E)散点图比较每个长寿突变株的复制寿命百分比变化与生长速率百分比变化。
图3.响应MMS的长寿菌株的生长抑制。(a)显示了与野生型BY4742相比,相对生长抑制显著变化(p<0.05)的长寿菌株。显示了对照敏感的rad52Δ应变以供比较。误差线是s.e.m。(b-d)野生型、rpl20bΔ和afg3Δ菌株在0、0.005%或0.01%MMS中的代表性生长曲线。(c)比较每个长寿突变体的复制寿命百分比变化与生长速率百分比变化的散点图。
图4、afg3Δ和rpl20bΔ菌株的Hac1独立Tunicamycin抵抗性。(A)野生型BY4742、afg3Δ、hac1Δ和afg3Δhac1Δ菌株在不同Tunicamycin浓度下的平均倍增时间。afg3Δhac1Δ双突变株在0.25μg/mL Tunicamycin下仍可生长(虽非常缓慢),而hac1Δ无法生长,表明存在Hac1独立的Tunicamycin抵抗性。(B)显示各菌株的复制寿命曲线,括号内为平均寿命。afg3Δ的寿命延长不依赖Hac1。(C)指定菌株在不同Tunicamycin浓度下的点斑实验。点斑按1:10稀释,平板在30°C下培养3天。
图5、AFG3缺失通过Sir2独立、Gcn4依赖机制减少细胞质翻译并延长寿命。(A)野生型BY4742和afg3Δ对数期酵母的代表性多核糖体谱。AFG3缺失导致核糖体从高翻译mRNA转移至未结合形式。曲线按80S自由亚基和双核糖体(2R)之间的最小值归一化。(B)三重复多核糖体的峰面积定量。*P<0.05,ns=无显著性,误差棒为SEM。(C–F,H)指定菌株的复制寿命曲线。括号为平均寿命。afg3Δ的寿命延长依赖Gcn4,但不依赖Sir2或Fob1;与rpl20bΔ或膳食限制(0.05%葡萄糖)组合不会产生叠加的寿命延长效果。(G)流式细胞术分析对数期基因组标记Gcn4-GFP菌株。
总结
本论文研究中,研究人员系统分析了46株长寿基因缺失株在四种应激条件下的反应谱。尽管环境应激在促进衰老方面可能起着重要作用,但这种关系仍然理解不足。为了更全面地刻画这种相互作用,研究者在四种不同应激条件(氧化应激、内质网应激、DNA损伤应激及热应激)下,分析了46株长寿酵母突变株的应激反应谱,并根据应激反应特征对基因进行了分组。出乎意料的是,缺失线粒体AAA蛋白酶基因AFG3的细胞,与缺失细胞质大亚基核糖体蛋白的长寿突变株聚类最为接近。与这些核糖体蛋白突变株相似,afg3Δ细胞表现出细胞质mRNA翻译下降、对tunicamycin的抗性增强(且独立于内质网未折叠蛋白反应),并呈现出Sir2非依赖但Gcn4依赖的寿命延长。这些数据揭示了一个意想不到的联系:线粒体蛋白酶、细胞质mRNA翻译与衰老之间存在密切关系。Bioscreen C全自动生长曲线分析仪在本研究中发挥了关键作用,它不仅提供了高精度的生长速率测定,还能够量化细胞在不同应激条件下的反应。这些数据对于揭示长寿突变体的应激反应特征和寿命延长机制至关重要。通过Bioscreen C全自动生长曲线分析仪,研究者能够系统地评估46种长寿酵母突变体在多种应激条件下的生长特性,从而为理解细胞如何感知和响应线粒体应激以及这些响应如何影响寿命和衰老提供了重要的数据支持。本研究不仅揭示了Afg3在细胞质mRNA翻译和衰老过程中的新角色,还提供了一种通过应激反应特征来预测未知因素的长寿途径的新方法,为深入理解细胞如何感知和响应线粒体应激以及这些响应如何影响寿命和衰老提供了新的视角和研究方向。
相关新闻推荐
3、缺乏生物素合成能力的猪链球菌其BirA同源物的功能表征与生理意义——方法
