摘要
芽殖酵母Saccharomyces cerevisiae已被证明是衰老研究领域中的重要模式生物。复制性寿命和时序寿命是用于研究酵母衰老的两个既定范式。复制性衰老定义为单个酵母母细胞在衰老前产生的子细胞数量;时序衰老定义为细胞在非分裂、类静止状态下能够存活的时间长度。我们开发了一种用于定量测量时序寿命的高通量方法。该方法包括在恒定温度下,在确定的培养基中振荡培养细胞使其衰老。在每个时间点,从衰老培养物中取出一部分细胞,接种到丰富的生长培养基中。然后使用Bioscreen C MBR机器获取这部分老化细胞的高分辨率生长曲线。随后应用一种算法,根据每个时间点的生长动力学确定每个亚群中活细胞的相对比例。与其他时序寿命测定方法相比,该方法所需的时间和资源显著减少,同时保持了可重复性和精确性。这种检测方法的高通量性质应允许进行大规模的遗传和化学筛选,以识别新的长寿调节因子,以便在更复杂的生物体中进行进一步测试。
第1部分:衰老培养物的制备
1.将感兴趣的菌株从冷冻储备液中划线接种到YEPD琼脂平板(1%酵母提取物,2%细菌蛋白胨,2%琼脂,2%葡萄糖)上。
2.在30°C下培养细胞48小时或直到单菌落出现。
3.挑取单菌落并接种到装有5 mL YEPD液体培养基(1%酵母提取物,2%细菌蛋白胨,2%葡萄糖)的试管中。
4.在30°C下培养过夜,同时使用摇床或滚轴鼓保持恒定振荡。
5.用50μL过夜培养物接种5 mL合成完全(SC)培养基(表1)。通常为每个菌株制备三个SC培养物,以便为每个待检菌株的寿命分析提供三次生物学重复。
6.在整个实验期间(通常为2周或更长时间),将培养物置于30°C,并在滚轴鼓上保持恒定振荡。
第2部分:获取存活率时间点
在SC培养基中培养两天后,细胞应进入稳定期,可以获取第一个时间点。随后的时间点应每2-3天获取一次,至少持续两周。对于每个时间点:
1.准备用于接种的Bioscreen 100孔蜂窝板,每个孔中加入145μL YEPD。确保至少留一个孔只加YEPD而不接种细胞,以备后续数据分析。
2.从培养箱中取出衰老培养物。
3.短暂涡旋第一个要接种到蜂窝板中的培养物,注意不要溅出任何培养液。
4.取出5μL混合均匀的培养物,将其移液到蜂窝板的第一个孔中。在取出5μL等分样品前后,对每个试管的管口进行火焰消毒。
5.对每个衰老培养物重复此过程,务必记下每个培养物对应的孔位置。在整个实验的每个后续时间点应使用相同的孔位置。
6.接种完成后,将培养物放回30°C培养箱。
第3部分:加载Bioscreen C MBR生长曲线分析仪
1.抬起盖子露出培养室,取下样品盘盖。
2.将新接种的蜂窝板插入样品盘(如果只读取一个板,请使用左侧插槽)。
3.盖回样品盘盖,放下培养室盖。
4.检查确保热传递液高于最低填充液位。如果液位低,请使用提供的热传递液和1000mu L移液器添加更多液体。
5.使用Bioscreen软件"EZExperiment",设置以下参数以获得适合酿酒酵母的生长曲线:
样品数量:输入含有培养基的孔数或200
滤光片:420-580nm,宽带
温度:30°C
实验时长:1天,0小时,0秒
测量间隔:30分钟
振荡:开启,连续振荡,高速
6.点击"开始"开始读数。
第4部分:数据分析
通常,在两周内获取六个时间点。时间点分别在第2、4、6、9、11和13天获取。根据实验设计和测试的菌株,可能需要更频繁或更不频繁地获取时间点,或者超过2周。重要的是,每个时间点都以相同的顺序加载蜂窝板,使得每个衰老培养物在每个时间点都对应相同的孔位置,这将使数据分析更加容易。
1.从Bioscreen C MBR机器获取输出文件。软件"EZExperiment"将输出Bioscreen数据为制表符分隔的文件,该文件与Microsoft Excel以及其他软件兼容。第一列显示实验过程中进行OD测量的时间,随后的列代表Bioscreen蜂窝板中的每个孔(图1)。
图1.Bioscreen程序"EZExperiment"的数据输出。A列显示进行吸光度读数的时间。后续列代表接种了来自衰老培养物的细胞的蜂窝板各孔
2.删除每列的第一个OD读数。该读数是"噪音"。
3.通过从每列的所有OD值中减去仅含YEPD的孔的OD值来标准化数据。这可以去除培养基的背景吸光度。
4.绘制生长曲线。曲线将随年龄发生移动(图2)。例如,通过绘制第1列(蜂窝板第1孔)在六个时间点的生长曲线,可以观察到曲线随时间明显向右移动。
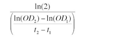
5.根据第2天时间点的生长动力学计算每个孔的倍增时间(delta)。用于计算倍增时间的方程为:
其中OD_{1}和OD_{2}代表连续的OD测量值,t_{1}和t_{2}是测量间隔时间。仅计算OD值在0.2到0.5之间的倍增时间。这些值的平均值即为该孔的倍增时间。仅计算OD值在0.2到0.5之间的倍增时间。这些值的平均值即为该孔的倍增时间。大多数野生型酵母菌株的倍增时间值应在85到90分钟之间。
6.对于每个时间点,计算生长曲线相对于初始时间点(第2天)的时间偏移(Delta t)。一个简单的方法是确定每个孔在初始时间点和每个后续时间点之间达到OD 0.3所需时间的差异。特定孔达到OD 0.3的时间可以根据对应于ln(OD)随时间变化的线性回归方程计算,该方程基于OD=0.3两侧的两个时间点。
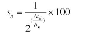
7.计算每个时间点的存活分数以生成生存曲线(图3)。将初始时间点(第2天)定义为100%存活率。对于每个后续时间点,使用以下方程计算存活百分比:
图3.A)使用图1的生长数据生成的生存曲线。第2天时间点设置为100%活力点。B)同一实验中测试的两个菌株的最终生存曲线。这些生存曲线代表每个菌株三个生物学重复的平均活力。误差棒代表生物学重复内的标准差。生存曲线下的阴影区域代表菌株1的生存积分(SI)。
图2.单个生物学重复在整个实验过程中的生长曲线。随着衰老培养物中的细胞失去活力,曲线随时间发生明显移动。初始时间点(第2天)与后续时间点之间的时间长度决定了该特定年龄的活力。
其中s_{n}是存活百分比,Delta t_{n}是时间偏移,delta_{n}是倍增时间。
8.根据需要为每个孔(或重复孔)生成生存曲线(图3B),通过绘制活细胞分数(或百分比)随年龄变化的图。
9.计算每个孔的生存积分(SI)。SI定义为生存曲线下的面积,可以通过以下公式估算:
10.根据SI和存活数据确定重复孔的统计参数。常见的关注统计参数包括每组生物学重复的平均值、中位数和方差。可以使用t检验或类似分析对不同实验组和对照组的SI进行成对比较。也可能需要如4.8所述,从平均的生物学重复生成生存曲线。
第5部分:代表性结果
实验完成后,您将绘制出生存曲线并进行足够的数据分析,以确定几种不同菌株或条件下的时序衰老潜力。如果操作正确,从Bioscreen C MBR机器获得的生长曲线应类似于图2所示,生成的生存曲线应类似于图3所示。通常,在此所述条件下培养的野生型细胞的中位时序寿命约为7天。在不同菌株和某些条件下观察到存活率存在显著差异,例如在0.05%葡萄糖培养基中生长时,中位存活时间可超过30天。
注:此配方适用于二倍体BY4743菌株的营养缺陷型。应在合成完全培养基中添加5倍终浓度以补偿氨基酸营养缺陷型。
讨论
本文描述的高通量时序寿命测定法是一种有效的方法,可用于以高精度和准确度量化大量菌株的衰老潜力。与通过计数菌落形成单位来确定存活率的经典方法相比,该方法的主要进步在于使用摇床/培养箱/读板设备(如Bioscreen C MBR机器)来获取每个时间点的高分辨率生长曲线。与低通量时序寿命测定法的直接比较表明,该方法实现了相当(或更好)的精度,同时显著增加了可分析的样品数量。该方法的主要进步在于使用摇床/培养箱/读板设备(如Bioscreen C MBR机器)来获取每个时间点的高分辨率生长曲线。与低通量时序寿命测定法的直接比较表明,该方法实现了相当(或更好)的精度,同时显著增加了可分析的样品数量,适用于衰老研究。然而,该方法可以很容易地适应替代的培养条件,例如预适应到每个时间点的高分辨率生长曲线。与低通量时序寿命测定法的直接比较表明,该方法实现了相当(或更好)的精度,同时也可以设想用于药理学筛选目的,例如将来自化合物库的不同化学化合物添加到衰老培养基中,而不是接种不同的菌株。
这里描述的方法还为寿命确定所使用的时间点提供了灵活性。如上所述,在实验的第2、4、6、9、11和13天获取时间点。这些时间点适用于筛选酵母ORF缺失库以寻找寿命改变的突变体,但可能不适用于其他应用、培养条件或遗传背景。但应注意,如果希望跨多个实验进行比较,则每个实验应使用相同的一组时间点。
在进行时序寿命实验的过程中,我们注意到衰老培养物中的一部分细胞会周期性地重新进入细胞周期,这种现象称为"喘息"。喘息可以观察到一个或多个较晚时间点的生长曲线向左移动,对应于衰老培养物中活细胞数量的增加。除非活力已经足够低,以至于后续时间点不会显著影响SI,否则发生喘息的培养物应从分析中剔除。
Bioscreen C MBR机器的日常维护对于获得可重复且准确的寿命数据是必要的。必须保持热传递液高于最低填充液位,并且应在每次运行机器前进行检查。定期擦拭培养室内部以去除由蜂窝板连续振荡产生的灰尘也是有益的。灯泡也需要每年更换一到两次。F1.b2错误消息表示灯泡光线不足。最好手头备有几个备用灯泡。
在过去几年中,识别改变简单真核生物寿命的突变体和化学物质一直是衰老研究的驱动力。特别令人感兴趣的是那些能减缓进化上不同物种衰老的干预措施。本文描述的时序寿命方法促进了对芽殖酵母基本衰老机制的理解,并识别了新的长寿因子,这些因子最终可能被证明可作为治疗人类年龄相关疾病的靶点。
相关新闻推荐
1、微生物生长曲线分析仪揭示假单胞菌对尼古丁降解过程的未解途径
2、地衣芽孢杆菌的生长曲线测定、生理生化特性、益生性能研究(一)
3、羊瘤胃分离乳酸菌生长曲线、产酸曲线测定及对金黄色葡萄球菌抑制作用(四)
