结果与讨论
重组酵母菌株的构建
扩增CA1-loxP-KanMX-loxP-CB1缺失盒,通过同源重组转化并整合到亲本菌株WY1的一个染色体CAR1位点,构建单CAR1等位基因缺失菌株YZ10。转化后,在G418选择性平板上筛选转化子,并使用三对引物(C-S和K-S、K-X和C-X、CA1-U和CB1-D)通过PCR验证。分别获得1278、1191和2691bp的扩增DNA片段(图2)。这些结果证明CA1-loxP-KanMX-loxP-CB1缺失盒已插入CAR1位点。
将质粒pSH-Zeocin引入重组菌株YZ10后,表达Cre重组酶并切除KanMX。丢失pSH-Zeocin后,重组菌株YZ10的基因型变为WY1 Δcar1/CAR1::loxP,命名为YZ11。为验证KanMX是否被去除,使用引物对C-S和K-S、K-X和C-X、CA1-U和CB1-D,0、0和1078bp的扩增片段表明正确去除。
将CA2-loxP-KanMX-loxP-CB2缺失盒扩增并转化到YZ11中以删除第二个CAR1等位基因。构建了基因型为WY1 Δcar1/Δcar1::loxP::loxP-KanMX-loxP的重组菌株,称为YZ21。为验证第二个CAR1等位基因的进一步删除,使用C-S和K-S、K-X和C-X、CA2-U和CB2-D作为引物对,以双CAR1等位基因缺失转化子的基因组为模板。PCR产物分别为1628、1428和2196bp,确认了第二个CAR1等位基因的正确删除。最后,再次使用上述方法切除并验证KanMX基因。0、0、583bp的PCR产物确认了KanMX基因的去除(图2)。新的重组菌株称为YZ22,基因型为WY1 Δcar1/Δcar1::loxP::loxP。
CAR1基因缺失对CAR1基因相对表达水平和精氨酸酶活性的影响
为进一步确认CAR1基因缺失,我们定量了CAR1基因表达的mRNA水平并测量了精氨酸酶活性(图3)。RT-qPCR结果显示,与WY1相比,YZ11的CAR1表达水平降低了63%(P<0.05),而工程菌株YZ22几乎不表达CAR1基因(P<0.05)。同时,结果还表明WY1基因组中不存在其他CAR1基因序列。此外,酶测定结果表明,菌株YZ11和YZ22的精氨酸酶比活性分别比亲本菌株WY1低1.84倍和12.64倍(P<0.05)(图3)。然而,在重组菌株YZ22中仍检测到微量精氨酸酶活性。这可能是由于细胞内存在多种酶,其中一些酶具有与精氨酸酶相似的功能。Schehl等人和Wu等人也报道了类似现象。这些结果证实,CAR1基因的缺失导致基因表达水平和酶活性显著降低,从而减少了YZ11、YZ22中的尿素合成。
| 菌株 | 尿素(mg/L) | 室温储存后的EC(μg/L) | |
|---|---|---|---|
| 0天 | 90天 | ||
| WY1 | 1.99±0.050 | 26.96±0.83 | 41.79±1.21 |
| YZ11 | 1.65±0.043 | 20.56±0.66 | 30.84±0.95 |
| YZ22 | 0.44±0.013 | 7.07±0.20 | 8.56±0.28 |
CAR1基因缺失对尿素和EC产量的影响
使用重组菌株YZ11、YZ22和亲本菌株WY1进行葡萄酒模拟发酵。发酵结束后,过滤葡萄酒,并在67°C煮沸15分钟以杀死微生物并促进蛋白质沉淀,确保储存期间葡萄酒样品的生物和非生物稳定性。由于加热可能促进尿素和酒精形成EC,为反映真实情况,在EC测定和储存监测前,将葡萄酒样品在67°C煮沸15分钟。测定葡萄酒样品中的尿素和EC,以评估单CAR1基因缺失和双CAR1基因缺失对抑制尿素形成和EC生成的贡献。如表3所示,单拷贝CAR1基因缺失对抑制尿素积累和减少发酵葡萄酒样品中EC形成没有显著影响。然而,在双CAR1缺失菌株YZ22发酵的样品中,与WY1相比,尿素和EC水平分别降低了77.89%和73.78%(P<0.05)(表3)。
在室温下储存90天后,WY1生产的储存葡萄酒中EC浓度升高至41.79±1.21μg/L,是原葡萄酒的1.55倍。而在YZ22发酵的葡萄酒样品中,EC浓度仅升高21.07%至8.56±0.28μg/L,证实尿素浓度较低的葡萄酒样品中EC的形成速度要慢得多。这些结果强烈表明,EC可以在葡萄酒生产和储存过程中形成。同时,结果也支持EC主要通过乙醇与尿素的自发化学反应形成的结论,这与烈性酒发酵和中国黄酒发酵的结果一致。
我们的结果与Kitamoto等人报道的清酒情况不同,当使用两个CAR1基因拷贝都缺失的菌株时,未检测到尿素或EC。这种明显差异可归因于发酵所用原料的不同以及葡萄酒发酵过程中复杂微生物代谢产生的大量EC前体。通过降低葡萄酒中尿素的产量,明显降低了葡萄酒中EC的浓度。进一步的工作可以集中在降低瓜氨酸、氨基甲酰磷酸和其他EC前体上,以消除葡萄酒中的EC。
CAR1基因缺失对葡萄酒酵母生长和发酵特性的影响
稳定的性能对工业发酵很重要,其中二倍体菌株因其稳定的发酵性能而经常被使用。为测试CAR1缺失对酵母菌株性能的影响,测定了生长曲线,并用亲本菌株WY1和重组菌株YZ11、YZ22进行了小规模葡萄酒发酵试验。删除一个CAR1基因拷贝或两个CAR1基因拷贝都显示出与其亲本菌株相似的生长能力(图4)。在发酵过程中监测重量损失(图5)。YZ11显示出与亲本菌株WY1相同的重量损失趋势,而YZ22的发酵速率比WY1稍慢。但它们与亲本菌株WY1的总CO2重量损失相同。
| 酵母菌株 | 乙醇(%, V/V, 20°C) | 残余还原糖(g/L) | 总酸(g/L) | pH值 |
|---|---|---|---|---|
| WY1 | 11.78±0.11 | 1.77±0.13 | 5.94±0.11 | 3.85±0.028 |
| YZ11 | 11.80±0.10 | 1.84±0.15 | 5.81±0.06 | 3.84±0.014 |
| YZ22 | 12.37±0.05 | 2.12±0.16 | 5.71±0.14 | 3.87±0.007 |
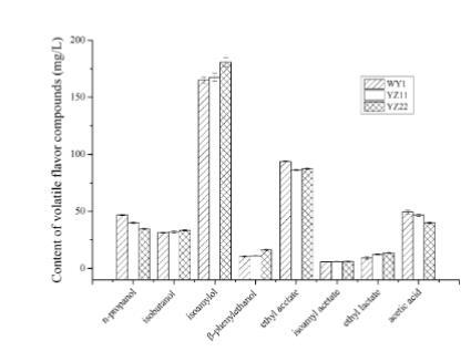
检测了最终发酵样品中乙醇、残余还原糖、总酸和pH值的浓度(表4)。结果显示,测试菌株的总酸和pH值之间没有明显区别,而YZ22的残余还原糖和乙醇略高于WY1(表4)。鉴定和定量了葡萄酒中的风味化合物,结果表明存在轻微差异(图6)。还检测了葡萄酒中游离氨基酸的浓度(图7),YZ22和WY1之间精氨酸含量和脯氨酸含量的差异可能是由于两个CAR1拷贝的删除所致。随着YZ22中CAR1基因的删除,葡萄汁中的主要氮源之一精氨酸被阻断代谢。葡萄汁中的另一种主要氨基酸脯氨酸和其他微量氨基酸被用作氮源。因此,用重组菌株YZ22发酵的葡萄酒中精氨酸含量明显高于亲本菌株WY1。相反,用突变菌株YZ22发酵的葡萄酒中脯氨酸含量较低。其他氨基酸含量存在微小差异,YZ22发酵的葡萄酒中大多数氨基酸含量略低于亲本菌株。
结论
降低EC浓度是葡萄酒工业的重要生物技术目标。在本研究中,我们从工业葡萄酒酵母WY1中基因工程构建了具有两个CAR1等位基因缺失的重组菌株YZ22,以降低EC产量。YZ22发酵的葡萄酒样品中尿素和EC的产量分别降低了77.89%和73.78%。同时,在储存期间,由于尿素浓度较低,EC的形成速度也大大降低。YZ22菌株在生长和发酵特性方面与亲本菌株基本相当。使用Cre/loxP系统去除了KanMX标记基因。尽管由重组微生物发酵生产的转基因食品由于缺乏公众接受度而尚未商业化,但本研究为酿造工业以及EC研究提供了参考。
相关新闻推荐
1、定向梯度驯化酿酒酵母W303-1A在糠醛和对羟基苯甲酸抑制胁迫下生长情况(一)
