3.结果与讨论
3.1.分离株的分离与鉴定
婴儿粪便中的LAB计数范围从4 x 10^6 CFU/g到2 x 10^10 CFU/g,并且在配方奶喂养的婴儿中更高。共回收了109株LAB分离株,即82株来自母乳喂养,9株来自配方奶喂养,18株来自混合喂养。根据其RAPD-PCR谱对分离株进行区分,随后通过几个基因(16S、cpn60、pheS和/或sodA)的测序进行物种鉴定。因此,鉴定出60种不同的RAPD指纹谱,并分配了一个基因型(表2)。
从109株LAB分离株中,乳酸杆菌属是最主要的属,占分离株的48%。鉴定出的乳酸杆菌物种是加氏乳酸杆菌(21%)、类干酪乳酸杆菌/副干酪乳酸杆菌(10%)、发酵乳酸杆菌(9%)、鼠李糖乳酸杆菌(5%)、口乳酸杆菌(2%)和阴道乳酸杆菌(1%)。还检测到肠球菌属、链球菌属和魏斯氏菌属的成员(分别为38%、11%和3%),包括粪肠球菌(所有肠球菌分离株)、巴氏链球菌(5%)、唾液链球菌(3%)、卢特链球菌(2%)、解没食子酸链球菌(2%)和类肠膜魏斯氏菌(3%)(表2)。其他作者显示粪肠球菌是从1天大的新生儿粪便中分离的主要物种。
| 物种 | 喂养类型 母乳 | 配方奶 | 混合 | 总基因型数 | |||
|---|---|---|---|---|---|---|---|
| n | 基因型 | n | 基因型 | n | 基因型 | ||
| 加氏乳酸杆菌 | 19 | 6 | 1 | 1 | 0 | 0 | 8 |
| 类干酪/副干酪乳酸杆菌 | 11 | 6 | 2 | 2 | 3 | 1 | 6 |
| 发酵乳酸杆菌 | 0 | 0 | 0 | 0 | 8 | 4 | 4 |
| 鼠李糖乳酸杆菌 | 1 | 1 | 0 | 0 | 1 | 1 | 3 |
| 口乳酸杆菌 | 2 | 1 | 1 | 1 | 2 | 0 | 1 |
| 阴道乳酸杆菌 | 0 | 0 | 0 | 0 | 0 | 0 | 1 |
| 粪肠球菌 | 35 | 23 | 2 | 2 | 4 | 2 | 27 |
| 巴氏链球菌 | 4 | 3 | 0 | 0 | 1 | 1 | 3 |
| 唾液链球菌 | 1 | 1 | 1 | 1 | 0 | 0 | 1 |
| 卢特链球菌 | 1 | 1 | 0 | 0 | 1 | 1 | 2 |
| 解没食子酸链球菌 | 1 | 1 | 0 | 0 | 0 | 0 | 1 |
| 类肠膜魏斯氏菌 | 2 | 1 | 0 | 0 | 1 | 1 | 3 |
在乳酸杆菌中,加氏乳酸杆菌是出生后头2个月最常分离的物种(30%),其次是发酵乳酸杆菌、类干酪乳酸杆菌/副干酪乳酸杆菌和口乳酸杆菌(分别为9%、3%和3%)。然而,在2个月以上年龄,类干酪乳酸杆菌/副干酪乳酸杆菌占主导地位(25%),其次是发酵乳酸杆菌、鼠李糖乳酸杆菌和阴道乳酸杆菌(分别为25%、11%、8%和3%)。加氏乳酸杆菌在女性阴道微生物群中很常见(Vasquez等人,2002),并且在分娩期间观察到阴道乳酸杆菌可能定植新生儿(Matsumiya等人,2002)。此外,鉴于大多数采样的粪便来自母乳喂养的婴儿,并且在该组中加氏乳酸杆菌是最主要的乳酸杆菌物种,母乳可能是加氏乳酸杆菌的另一个来源。在这方面,Martin等人进行的一项研究显示,从母乳和婴儿粪便中分离出具有相同RAPD-PCR模式的加氏乳酸杆菌。与我们的结果一致,Xanthopoulos等人从婴儿粪便中分离出副干酪乳酸杆菌亚种副干酪乳酸杆菌、鼠李糖乳酸杆菌和加氏乳酸杆菌。Solis等人发现加氏乳酸杆菌是从10到90天龄新生儿粪便中分离的乳酸杆菌中的主要物种。同样,Ahrne等人报道鼠李糖乳酸杆菌和加氏乳酸杆菌是出生后头2个月粪便中最常分离的物种。
3.2.潜在益生菌菌株的技术和安全表征
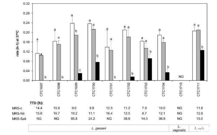
进一步表征以筛选用于发酵香肠的潜在益生菌培养物,重点关注不同的乳酸杆菌菌株(n=23),因为它是所有分离株中在发酵香肠中最具技术相关性的属。人类LAB分离株已被测试其作为斯堪的纳维亚型发酵香肠(Klingberg等人,2005)和伊比利亚干发酵香肠(Ruiz-Moyano等人,2008)益生菌培养物的适用性。据报道,肠道来源是选择益生菌菌株的相关标准,因为它们可能预期在与其原始分离环境相似的环境中功能更好(Saarela等人,2000)。然而,在益生菌选择中也应考虑技术方面,如性能和存活能力以纳入肉制品,因为它们应能够与内生肉微生物群竞争(De Vuyst等人,2008)。因此,在补充了用于制作发酵香肠的不同成分和添加剂的MRS肉汤中进行的Bioscreen C生长测定显示,大多数测试的23株乳酸杆菌菌株能够在37°C下在MRS-c和MRS-Nit中生长,但只有18株能够在37°C下在MRS-Salt中生长,尽管与MRS-c和MRS-Nit相比,生长速率和检测时间(TTD)通常分别降低和增加(图1)。
图1:乳酸菌菌株在37°C下于MRS-c、MRS-Nit和MRS-Salt中的生长速率和检测时间。NG:无生长。
相关新闻推荐
2、定向梯度驯化酿酒酵母W303-1A在糠醛和对羟基苯甲酸抑制胁迫下生长情况(二)
3、链球菌、金黄色葡萄球菌、大肠杆菌对中性粒细胞活化能力的差异(二)
