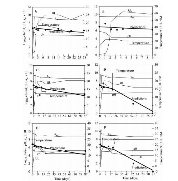
(ii)在中试工厂生产的VTEC污染FRMS中大肠杆菌浓度的模型验证
将EcSF工具预测的VTEC浓度与在中试工厂生产的挪威香肠和瑞典梅特沃斯特香肠整个生产和贮藏过程中观测到的浓度进行了比较。总体而言,模型预测的浓度与所有VTEC曲线在整个FRMS制备和贮藏过程中的观测值高度吻合,差异百分比在3%至16%之间。在发酵兼成熟期内,VTEC浓度减少了约1个对数单位。最大的VTEC减少量出现在高温贮藏阶段,如在25°C下贮藏66天后,VTEC减少量超过6个对数单位。
(iii)整个FRMS生产和贮藏过程中模型性能与其他建模方法的比较
我们将建模工具EcSF与MLA-RIC和MLA-EcIFM模型进行了比较。EcSF通过求解动态方程来预测波动环境条件下的VTEC浓度,而MLA-RIC主要预测生长导致的增加,MLA-EcIFM预测加工中的灭活。
模拟结果表明,对于北欧型半干制FRMS(干燥时间短),两种方法均预测VTEC减少量较小(<1 log10)。对于干制FRMS和北美型半干制产品,预测减少量更大。传统干制南欧型FRMS因干燥期长,预测灭活最大。EcSF通常预测的VTEC减少量低于MLA-EcIFM,这源于EcSF基于抗性最强的O157:H7菌株进行了校正。
统一从屠宰到成品(流程F1+F2)的模拟预测显示,VTEC总减少量因肉类加工阶段(F1)可能的增长而低于单独FRMS制造(F2)的预测。这表明控制初始加工环节对最终产品安全至关重要。
讨论
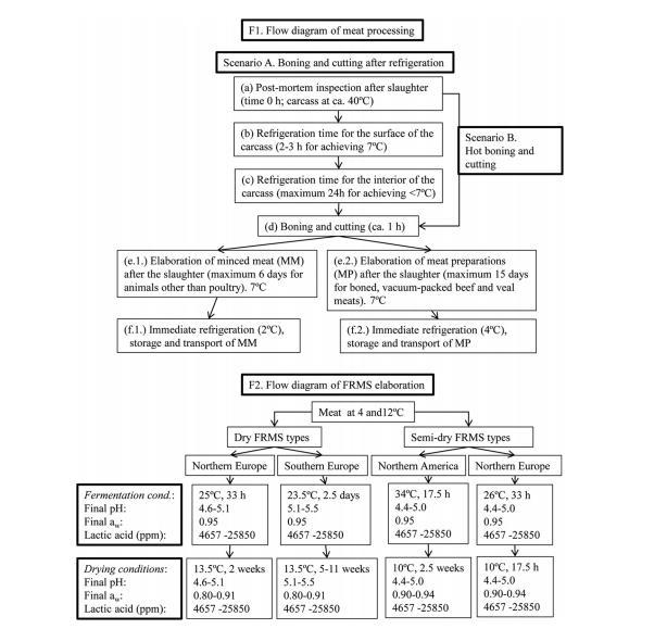
动力学和概率模型已被整合,以提供在生长、存活和灭活条件范围内波动环境下的动态预测。整个FRMS制造和储存过程中VTEC浓度的预测已与独立观察结果进行了比较。该模型在EcSF计算工具中实现,该工具预测FRMS制备过程中的VTEC浓度,并允许估计达到VTEC浓度特定减少所需的储存条件和制造步骤。
当模型如本工作中那样是经验性时,预测仅当在模型插值区域内时才可靠。模型的插值区域在一篇里程碑论文中被定义为包含用于拟合模型的所有测量环境条件的最小凸区域。模型的插值区域不同于名义区域或获得观察结果的环境变量范围的乘积。这些范围在我们的模型补充材料表S1中描述。使用DMFit工具从用于拟合种群动力学模型的非热灭活、热灭活和生长数据集中估计了EcSF工具的插值区域,其顶点在补充材料表S4中报告。插值区域在模型名义区域内但通常较小;通过蒙特卡洛方法估计两者之间的重叠百分比,如先前描述。我们估计EcSF工具的插值区域是其名义区域的30%。因此,如果条件在名义区域内随机选择,则存在高度外推风险。这一点非常重要,因为在插值区域之外的环境条件下获得的模型预测误差随着到插值区域边缘距离的增加而越来越大。虽然FRMS制造条件的巨大变化未预期,因此可能位于EcSF工具的插值区域内,但建议检查形成动态环境剖面的一组条件的顶点是否在模型的插值区域内。
我们发现,当温度以外的因素(如低pH和/或低a_w)抑制大肠杆菌生长时,灭活速率依赖于温度,并在较小程度上也依赖于未解离乳酸,这些因素本身并非致死性的,而不依赖于引起生长抑制和/或灭活的环境因素,即pH和/或a_w。类似结果先前已在大肠杆菌中报道。我们观察到,当pH和/或a_w值抑制生长时,大肠杆菌的灭活速率随着温度从2°C升高到37°C而增加。速率的增加可能是由于在此范围内温度升高加速了灭活细胞过程。对于大多数细菌,酶速率在20至40°C范围内与温度成比例增加。大肠杆菌在高温度下对灭活pH和/或a_w值更敏感的另一种解释可能是膜特性的变化。细菌耐酸机制与膜组成相关,如影响质子渗透性的脂质含量。耐酸性还基于通过细胞膜的有效离子传输以维持恒定内部pH,以及负责修复膜的蛋白质诱导。另一方面,据报道,大肠杆菌在暴露于增加渗透压期间死亡的机制是膜变形和影响渗透性的膜脂质结构变化的组合。因此,与相对高温相关的膜特性扰动可能是导致大肠杆菌在灭活pH和/或a_w值下存活减少的因素之一。已观察到随着温度升高,大肠杆菌细胞膜中饱和脂肪酸增加同时不饱和脂肪酸减少,影响其一致性。42°C的热休克据报道会destabilize膜,改变磷脂和脂肪酸剖面,并增加其渗透性。其他研究人员指出暴露于42°C会降低膜各向异性并增加其刚性。
在本研究中,我们观察到未解离乳酸浓度影响生长和灭活速率,并对生长/无生长边界条件有相当大的影响(见补充材料中的图S2)。有机酸广泛用于食品工业作为防腐剂。尽管有此用途,其抗菌作用模式仍未完全理解。普遍认为弱酸抑制微生物生长的能力与其膜渗透性相关。在pH值低于其酸性基团pKa时,酸主要不带电荷,以此形式酸可以自由通过细胞膜。在较高pH值时,酸主要以解离或带电形式存在;解离酸通过膜的运输不能通过自由扩散发生,但需要效率较低的二级运输机制。早期研究表明对细胞内pH的影响是理解弱酸毒性的关键。细胞内,乳酸解离,释放质子降低内部pH和阴离子,此外特异性抑制代谢的不同方面并对细胞产生渗透效应,导致生长受损。可用证据表明它也可能影响膜功能。未解离乳酸已显示破坏大肠杆菌外膜的脂多糖层,增加其渗透性。这些对细胞的作用可能有助于其他环境因素的生长抑制效应,并缩小生长环境区域。
EcSF预测工具可用于评估制造过程和/或储存期间修改、干预或意外事件对VTEC存活的影响。例如,EcSF预测将发酵温度从20°C提高到28°C会导致VTEC灭活增加约100%。类似地,可以在每个特定FRMS制造过程的确切条件下评估成熟或储存期间变化的影响。因此,EcSF程序可用于优化FRMS生产,以实现相关食品安全当局设定的大肠杆菌浓度所需减少。EcFS中实现的模型基于本研究发现的最具抗性大肠杆菌菌株,因此EcSF可能高估FRMS中的VTEC浓度。设计最佳FRMS制造和储存过程以实现VTEC所需减少以及当前最小化生肉中VTEC流行的努力是能够增强这些肉制品安全性的方法。
相关新闻推荐
1、基于β-半乳糖苷酶Lac Z的UPR响应指示菌株的构建及生长曲线测定——材料与方法
2、基于全自动生长曲线分析仪研究单增李斯特菌低温生长机制(二)
3、全自动生长曲线分析仪应用-胰腺肿瘤细菌的生存机制及其代谢化疗药物的能力(二)
