结果
细菌生物量动态
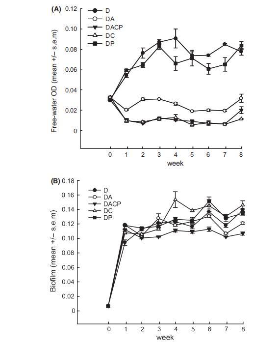
原生动物和噬菌体在减少开放水相细菌生物量(OD)方面的效率差异很大,并且效率也随时间变化(敌害:F4,159=1049.63,P<0.001;时间:F7,159=16.37,P<0.001;时间x敌害:F28,159=2.59,P<0.001,图2A)。在有纤毛虫的处理中,自由水相的OD减少最多(在第1-8周平均减少88%),而噬菌体仅有轻微影响(在第1-8周平均减少9%)。阿米巴具有中等影响(在第1-8周平均减少68%)。所有敌害一起的效应与单独纤毛虫的效应相同。
用祖先细菌和祖先噬菌体进行的短期实验显示了极其快速的进化动态,这是长期实验的每周取样频率所未能捕捉到的:在短期实验中,我们发现噬菌体在12小时内导致生物量崩溃>93%(图3)。然而,细菌在最初24小时内进化出对噬菌体的防御,100小时后,暴露于噬菌体的细菌生物量接近无噬菌体系统的水平。
附着的生物膜量在第一周内迅速增加(图2B)。此后,细菌敌害对表面附着生物膜生物量的影响取决于敌害身份和时间(敌害:F4,159=55.18,P<0.0001;时间:F7,159=40.68,P<0.001;时间x敌害:F28,159=7.60,P<0.001)。生物膜生物量最大的长期敌害诱导损失出现在所有三种敌害类型都存在的情况下,而阿米巴在最后三周对生物膜生物量具有中等的负面影响。噬菌体和纤毛虫没有影响,或者甚至短暂地增加了生物膜生物量。
比较细菌敌害在减少开放水和生物膜中细菌生物量的效率
我们发现不同的敌害和敌害组合对开放水和生物膜中的细菌生物量均有显著影响(卡方=116.5,df=4,P<0.001;卡方=49.6,df=4,P<0.001)。在开放水中,纤毛虫是消耗细菌生物量最有效的捕食者,因为它们单独的效果与所有三种敌害类型组合的效果相同(DC=DACP,Z=-1.414,P=0.157)。阿米巴和噬菌体单独的效果都比纤毛虫差,但阿米巴比噬菌体更有效。所有比较的统计数据显示在表1中。
在生物膜内,三种敌害类型的组合被列为最有效(所有P值<0.0001)。生物膜减少效率的所有成对比较统计数据见表1。
敌害种群动态
纤毛虫的种群大小在单一敌害处理中平均高于与噬菌体和阿米巴混合的处理(敌害F1,511=57.001,P<0.001,时间F7,511=71.072,P<0.001,时间x敌害F7,511=14.693,P<0.001;图4A)。此外,在单一敌害处理中,纤毛虫密度随时间持续下降,而在多敌害处理中,种群大小似乎波动更大。
在多敌害处理中,阿米巴细胞在第一周后无法在暗场显微镜下观察到。它们在单一敌害处理中持续存在,并且也随时间下降(敌害F1,282=561.079,P<0.001,时间F8,282=28.687,P<0.001,时间x敌害F24,282=14.075,P<0.001;图4B)。
噬菌体在所有微观世界中整个实验期间都存在,这通过用实验结束时分离的噬菌体种群感染祖先细菌进行了验证。
讨论
由原生动物捕食者和寄生性噬菌体进行的下行控制是自然微生物群落中细菌死亡的最主要原因,因此,噬菌体和原生动物被认为是对抗细菌病原体的潜在生物防治剂。然而,由于评估相对死亡率的方法困难以及不可控的环境变量,这些细菌敌害的相对重要性尚不清楚。我们在静态微观世界中使用原生动物(卡氏棘阿米巴、纤毛虫嗜热四膜虫)、噬菌体(裂解性噬菌体Semad11)和环境生长的机会致病菌(粘质沙雷氏菌菌株Db11)进行的共培养实验表明,具有不同取食策略的细菌敌害对细菌种群具有非常不同的空间和时间效应。
噬菌体和原生动物捕食者利用相当不同的策略来利用细菌生物量。例如,大多数鞭毛虫和纤毛虫专门捕食悬浮细菌,而阿米巴被认为几乎只以生物膜为食。至于噬菌体,它们是攻击自由水中以及隐藏在生物膜中的细菌的寄生虫。噬菌体感染生物膜(由其他方面易感的细菌宿主形成)的能力取决于病毒对细菌表面的可及性,而这又取决于生物膜的结构以及噬菌体降解形成生物膜基质的胞外聚合物的能力。
尽管评估开放水和生物膜中生物量的测定方法不同,因此不能直接比较,但通过比较两种结果中细菌敌害的排名,我们可以看到,所有三种敌害的处理与单独纤毛虫的处理排名相等。因此,可以得出结论,纤毛虫在减少开放水中细菌生物量方面具有最强的长期负面影响,但在生物膜中则不然(表1)。纤毛虫使用口沟吞食悬浮细菌,并主要根据大小选择猎物,并且已经表明,四膜虫属纤毛虫也可以readily消耗由假单胞菌属或沙雷氏菌属形成的生物膜,并改变生物膜中细菌的组成和丰度。然而,我们并未发现纤毛虫-细菌或噬菌体-细菌处理中的细菌生物膜生物量动态在八周实验期间与单独培养的细菌有所不同。一种解释可能是,当纤毛虫取食开放水体生物量时,它释放了常见的细菌资源,这可以增加生物膜生物量的生长,从而补偿纤毛虫对生物膜生物量的潜在取食。然而,在纤毛虫、阿米巴和噬菌体都存在的情况下,发现了最低的生物膜量。这些结果表明,只有当阿米巴存在时,纤毛虫和噬菌体对生物膜量的影响才显著(图2B和表1)。
相关新闻推荐
3、不同浓度的乳铁蛋白对大肠杆菌生长抑制或促进情况——摘要、材料与方法
