研究简介:枯草芽孢杆菌是一种广泛存在于环境中的产孢细菌,其孢子对多种胁迫具有极强的抵抗力,包括热处理、紫外线处理等。这些孢子在食品中并无危害,除非提供适宜的发芽和生长环境。因此,有效灭活细菌孢子或抑制孢子发芽及后续营养生长的保存方法在食品工业中具有潜在应用价值。研究人员使用了枯草芽孢杆菌DSM 10菌株,通过特定的培养和处理方法,制备了不同总密度和可培养密度的混合孢子群体。使用台式SBS-XeMaticA-(L+L)设备进行PL处理,该设备能够发射短时高功率的宽带光,其中约40%为紫外光区域。PL处理的总光量范围为0.14–12 J/cm²,通过能量计测量单脉冲光量,并计算总光量。微生物分析通过平板计数法进行,孢子发芽与营养生长分析通过测量600 nm吸光度(OD600)监测。本研究主要评估脉冲光(Pulsed Light,PL)处理对枯草芽孢杆菌孢子发芽及后续营养生长的影响,以及PL处理与热处理的协同效应。研究结果表明,PL处理对枯草芽孢杆菌孢子的发芽和营养生长有显著影响,且与热处理有协同作用,为食品工业中的微生物控制提供了新的方法。
Bioscreen C全自动生长曲线分析仪的应用
Bioscreen C全自动生长曲线分析仪被用于监测枯草芽孢杆菌孢子发芽及后续营养生长的过程。将300μL的枯草芽孢杆菌孢子悬液加入到300μL的胰蛋白酶大豆肉汤(TSB)中,初始OD600设置为1.0。将混合液加入到Bioscreen C的微孔板中,微孔板在30℃下培养48小时。每5分钟自动监测一次OD600,每次测量前微孔板会摇动10秒,以防止孢子沉降。每种条件和阴性对照设三个重复孔,实验至少重复三次,以确保数据的可靠性。通过Bioscreen C记录的OD600数据,可以分析孢子发芽及后续营养生长的动力学变化。
实验结果
本研究首次描述了PL处理对发芽动力学及后续营养生长的影响。仅高强度处理完全抑制了枯草芽孢杆菌孢子发芽和后续生长。较低总光量(0.3–5.5 J/cm2)对发芽影响轻微或无影响,但延迟了营养生长,可能延长液态食品或表面去污固态食品的保质期。诱导生长延迟(更长滞后期)的PL处理降低了枯草芽孢杆菌孢子的耐热性,表明该联合处理具有潜在应用价值。若此结论适用于其他复杂基质和微生物,该联合工艺可用于有效去污光穿透有限的复杂产品。与热处理类似,枯草芽孢杆菌细胞对PL的敏感性在孢子发芽及后续营养生长过程中变化。一旦孢子发芽,细胞在指数生长期和稳定期对PL或热处理的敏感性相同。尽管需进一步研究PL预处理诱导的热敏感性增强的持续性,但本研究结果证明了PL技术作为传统方法替代方案的潜力,可降低枯草芽孢杆菌在水和营养丰富培养基中的发育可能性。
图1、PL处理对枯草芽孢杆菌萌发和无性生长的影响。黑线为未处理孢子,灰线为0.3 J/cm2的PL处理孢子,黑虚线为1 J/cm2的PL处理孢子,灰虚线为2 J/cm2的PL处理孢子,黑虚线为5.5 J/cm2的PL处理孢子,灰虚线为12 J/cm2的PL处理孢子。数据点为至少三次单独实验的平均值
图2、在总细胞密度和可存活细胞密度相同的情况下,比较经PL处理(连续线)或由死细胞和活细胞混合组成(不连续线)的枯草芽孢杆菌悬浮液的萌发和无性生长情况。对总细胞数为108个/毫升的细胞群和不同的可培养细胞密度进行了评估:106(a)、104(b)或102个细胞/毫升(c)。数据点为至少三次实验的平均值。
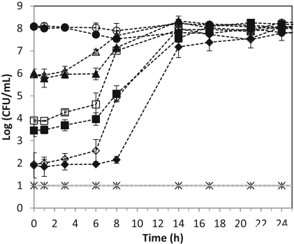
图3、在30℃的TSB中培养期间枯草芽孢杆菌的可培养性。未处理孢子的开圆圈、以0.3J/cm2处理的填充圆圈孢子PL、以1J/cm2处理的填充上三角孢子PL、密度为106个细胞/毫升的开口上三角孢子、以2J/cm2处理的填充正方形孢子PL、密度为104个细胞/毫升的开口正方形孢子、以5.5J/cm2处理的填充菱形孢子PL、密度为102个细胞/毫升的开口菱形孢子、以12J/cm2处理的星号孢子PL。误差条表示95%置信区间,连续线表示检测限。
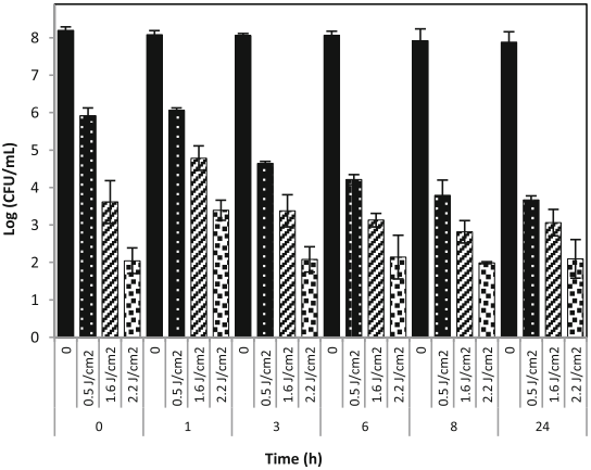
图4、在30℃的TSB中培养期间枯草芽孢杆菌细胞的热敏感性。未处理孢子的开圆圈、以0.3J/cm2处理的填充圆圈孢子PL、以1J/cm2处理的填充上三角孢子PL、密度为106个细胞/毫升的开口上三角孢子、以2J/cm2处理的填充正方形孢子PL、密度为104个细胞/毫升的开口正方形孢子、以5.5J/cm2处理的填充菱形孢子PL、密度为102个细胞/毫升的开口菱形孢子、以12J/cm2处理的星号孢子PL。误差条表示95%置信区间。连续线表示检测极限。
图5、30℃下发芽期间不同时间间隔PL处理对枯草芽孢杆菌可培养性的影响。误差条表示95%置信区间。
总结
研究人员通过脉冲光(PL)处理后,评估了枯草芽孢杆菌的细胞可培养性(孢子计数)损失、孢子发芽及随后的营养生长。PL对这些机制的影响取决于施加的总光量,随着总光量(0.3–12 J/cm2)的增加,孢子计数减少。低总光量(0.3 J/cm2)处理后,孢子发芽和营养生长均未受影响。1至2 J/cm2的光量未改变发芽速率,但显著延迟了细菌生长。生长前的滞后期随总光量的增加而延长。对于更高的总光量(5.5 J/cm2),孢子发芽速率显著降低。当枯草芽孢杆菌孢子受到12 J/cm2的处理时,未检测到可培养细胞(达到细胞灭活的最大可检测水平),孢子发芽和营养生长均被抑制至少48小时。在发生发芽的PL处理中,除最低光量(0.5 J/cm2)外,枯草芽孢杆菌细胞在发芽早期对PL的抵抗力暂时增强。此后,细胞变得更敏感,在指数生长期和稳定期对PL的抵抗力相似。PL使枯草芽孢杆菌细胞(孢子或营养形态)对后续热处理敏感,证明了热与PL的协同效应,这种联合处理在微生物灭活中具有潜在应用价值。Bioscreen C全自动生长曲线分析仪在本研究中发挥了重要作用,通过高精度和高重复性的OD600测量,提供了详细的孢子发芽和营养生长动力学数据。这些数据帮助评估了PL处理对枯草芽孢杆菌孢子发芽及后续营养生长的影响,为食品工业中的微生物控制提供了重要的实验依据。本研究提供了PL处理对枯草芽孢杆菌孢子发芽及后续营养生长影响的详细分析,以及PL处理与热处理的协同效应。这些发现对于食品工业中的微生物控制具有重要意义,可能有助于开发更有效的非热处理技术,以提高食品的稳定性和安全性。
相关新闻推荐
1、微生物群与人类宿主、入侵病原体及外界环境因素组成的相互作用调控网络
