研究背景与意义
在我们的肠道中,居住着数以万亿计的微生物,它们构成了复杂的肠道菌群,其中对健康有益的细菌被称为益生菌。鼠李糖乳杆菌(Lactobacillus rhamnosus)就是益生菌家族中的一颗“明星”,它被证实有助于调节免疫、缓解过敏和维持肠道健康。这些益生菌通常被制成粉末或胶囊,那么,如何高效、经济地大规模培养它们,就成为食品工业和保健品领域的一个重要课题。
在实验室里,科学家们常用一种名为“MRS”的培养基来培养乳酸菌。这种培养基成分复杂,包含了蛋白质、糖类、维生素以及多种微量元素,就像一个为细菌准备的“营养自助餐”。虽然大家都知道MRS培养基效果好,但其中十几种成分,究竟哪些对鼠李糖乳杆菌的生长最关键?是否可以通过调整配方,让它长得更快、产量更高?以往逐个尝试的方法效率低下,且无法考量不同营养成分之间的协同作用。
为此,厦门大学的研究人员从市售益生菌产品中分离出一株新的鼠李糖乳杆菌,命名为ZY菌株。他们运用先进的“正交阵列”统计实验设计方法,对MRS培养基的10种成分进行了系统性的“体检”,旨在找出影响细菌生长的关键营养素,并优化配方。这项研究不仅有助于降低益生菌的生产成本,其研究方法也为科学地优化其他微生物的“食谱”提供了宝贵借鉴。
论文亮点解读
本研究的亮点在于其精巧的实验设计和从生长到分子层面的多层次分析,主要可归纳为以下三点:
1. 用“数学思维”做“生物实验”:研究没有采用费时费力的传统方法,而是运用了名为“Taguchi L27正交阵列”的统计工具。这相当于同时开设27个微型发酵实验,高效地评估了10种营养成分的不同配比对细菌生长的影响。结果清晰地给这些成分的重要性排了序:葡萄糖 > 硫酸锰 > 牛肉浸粉 > 乙酸钠 > 硫酸镁 > 酵母浸粉 > 蛋白胨。这表明,能源(葡萄糖)和某些微量元素(锰)对鼠李糖乳杆菌ZY的生长至关重要。
2. “团体力量”大于“个人英雄”:分析发现,像磷酸氢二钾、柠檬酸铵等几种微量元素,单独拿掉时对细菌生长影响不大。但是,当把这四种微量元素全部移除后,细菌的生长就受到了显著抑制。这揭示了一个有趣的现象:在培养基中,某些营养素虽然个体作用不突出,但它们作为一个“团队”却不可或缺,共同支撑着细菌的正常代谢。
3. 超越生长曲线:窥探细胞内部的变化:研究人员不仅盯着细菌数量(生物量)的变化,还利用红外光谱(ATR-FTIR)和蛋白质电泳(SDS-PAGE)等技术,分析了在不同培养基中培养出的细菌在分子层面有何不同。他们发现,优化后的培养基使得细菌合成了一些与碳源利用相关的蛋白质(如塔格糖醛缩酶)发生了变化。这证实了碳源浓度是影响菌体生理状态的核心因素,将生长表现与细胞内在属性联系了起来。
Bioscreen C微生物生长曲线测定操作流程
为了精确、高效地监测鼠李糖乳杆菌ZY在不同培养基中的生长情况,研究人员使用了一台名为Bioscreen C的全自动微生物生长曲线分析仪。其操作流程如下:
1. 准备与接种:首先,将配制好的不同培养基分装到一种特制的100孔微孔板中。然后,在每个孔中加入等量的、经过预培养的ZY菌株菌液。同时,设置不加菌液的培养基作为空白对照,以排除干扰。
2. 上机与自动监测:将微孔板放入Bioscreen C仪器中,设定温度为37℃(细菌的适宜生长温度)。仪器会在此后的25小时内,每隔30分钟自动测量一次每个孔在600纳米波长下的光密度(OD600)。这个数值可以反映菌液的浓度,即细菌的数量。
3. 数据获取与分析:仪器会自动记录并生成数据曲线。通过分析这些动态的生长曲线,研究人员可以精确计算出每个条件下细菌的“最大生长速率”、“延滞期时长”和“最终产量”等关键参数,从而科学地比较不同培养基的优劣。
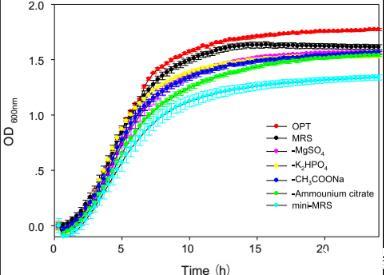
解读:上图正是Bioscreen C测定后得到的关键结果。这张生长曲线图直观地展示了鼠李糖乳杆菌ZY在原始MRS培养基、优化后的培养基(OPT)以及缺乏某些微量元素的培养基中的生长情况。可以明显看到,优化后的培养基(红色圆点)能获得最高的生物量,而移除所有微量元素的“迷你MRS”培养基(青绿色圆点)则严重抑制了细菌的生长。
总结
综上所述,这项研究通过科学的统计实验方法,成功地为鼠李糖乳杆菌ZY“量身定制”了一份更高效的培养基配方。研究揭示了在复杂的培养基中,碳源和锰元素是驱动细菌生长的关键“引擎”,而多种微量元素则扮演着不可或缺的“支持团队”角色。
更重要的是,这项工作展示了一种高效的研发思路:结合Bioscreen C生长曲线分析仪这种高通量工具和统计学设计,可以快速从大量候选配方中筛选出最优解,大大加速了益生菌乃至其他工业微生物的发酵工艺开发进程。最终,这类研究将有助于我们以更低的成本、更高的效率生产出优质的益生菌产品,让这些健康的“小卫士”更好地为人类健康服务。
相关新闻推荐
1、杉木心材提取物对木腐菌(白腐菌和褐腐菌)抑制性能分析(一)
2、不同浓度冠菌素对番茄防御基因表达、胼胝质沉积及野生型致病菌生长的影响(四)
3、室温条件下pH、aw及盐分对腐败希瓦氏菌生长概率的交互影响(二)
